Aktivierung Technicolor TC4400 / Kundeneigenes Modem

Fragen, Erfahrungen und technische Hilfe rund um den PŸUR-Internetzugang
sparkie
Beiträge: 185
Registriert: Fr 5. Jan 2018, 12:10
Internet: KMS/cablesurf 200/8 via TC4400

Re: Aktivierung Technicolor TC4400 / Kundeneigenes Modem

Beitrag von sparkie »

Maikel hat geschrieben: Fr 10. Aug 2018, 17:18 Wow. Nach ca. 4 Monaten hat es jetzt auch bei mir erfolgreich Syncronisiert mit der Lab Version (180327)
Gratulation :D

aber was ist jetzt anders als frueher (wenn man fragen darf)? Oder geht es jetzt ploetzlich ohne erkennbaren Grund?
Siegel Budgetnutzer überragend
PŸUR
Beiträge: 365 Beiträge
Internet: Internet
TV Pakete: Fernsehen
Wohnort: Berlin

Anzeige zu Re: Aktivierung Technicolor TC4400 / Kundeneigenes Modem

von PŸUR »

Hallo sparkie, schau doch mal ob du bei PŸUR Internet oder Gigabit Internet fündig wirst.

Samsungstory
Beiträge: 717
Registriert: Do 5. Okt 2017, 16:22
Internet: PYUR Speed 400

Re: Aktivierung Technicolor TC4400 / Kundeneigenes Modem

Beitrag von Samsungstory »

Schauen wir mal. Seit heute gibt es eine neue Firmware (Final). Hoffentlich ist das Cisco CMTS Problem damit behoben :?
Bild
PYUR Speed 400 mit TC4400 + GT-AX6000
Maikel
Beiträge: 127
Registriert: So 29. Mai 2016, 23:41
Internet: Speed 1000-50/ CH8978E/FB4060/Arris 21-5
TV Pakete: nix
Wohnort: Potsdam
Kontaktdaten:

Re: Aktivierung Technicolor TC4400 / Kundeneigenes Modem

Beitrag von Maikel »

sparkie hat geschrieben: So 12. Aug 2018, 14:38
Maikel hat geschrieben: Fr 10. Aug 2018, 17:18 Wow. Nach ca. 4 Monaten hat es jetzt auch bei mir erfolgreich Syncronisiert mit der Lab Version (180327)
Gratulation :D

aber was ist jetzt anders als frueher (wenn man fragen darf)? Oder geht es jetzt ploetzlich ohne erkennbaren Grund?

Tja, zu früh gefreut! TC4400 lief nur 3 Tage am Cisco, dann ging es nach einem reboot wieder nicht Online.
(und das bis dato)

Es sieht wohl so aus, als hätte es bei PYUR eine störung im Netzt gegeben, so das es mal 3 Tage lief...
Komischer weise genau zu dem zeitpunkt wo 3.1 in Frankfurt/Unitymedia irgend etwas getestet hat... (zusammenhänge?)
Bild

Bitcoin-Adresse: 1Q6JG8bsvZUGTDShg4TDpbC22aPvJsLXoF
Ether-Adresse: 0x13EDE2bafb636fEf0Cf6dE0625B9D56A34c793F9
Stellar-Adresse: GDYJRGRLAVBI2H4NNIZ2ACMEEQP43BOT45FAQWHXZ7EQPGS4XNV7KFHW
Maikel
Beiträge: 127
Registriert: So 29. Mai 2016, 23:41
Internet: Speed 1000-50/ CH8978E/FB4060/Arris 21-5
TV Pakete: nix
Wohnort: Potsdam
Kontaktdaten:

Re: Aktivierung Technicolor TC4400 / Kundeneigenes Modem

Beitrag von Maikel »

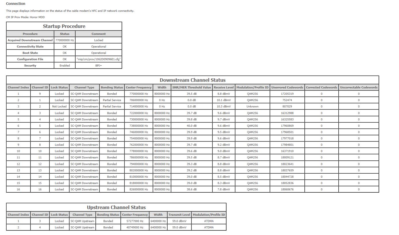
KanalSync
KanalSync
4400Kanal.JPG (186.65 KiB) 20144 mal betrachtet
EventlogNoSync
EventlogNoSync
4400EventNoSync.JPG (207.62 KiB) 20144 mal betrachtet
EventLogSync
EventLogSync
4400EventLog.JPG (199.21 KiB) 20144 mal betrachtet
So sah das dann mal aus. Vielleicht erkennt ja jemand das Problem.
Bild

Bitcoin-Adresse: 1Q6JG8bsvZUGTDShg4TDpbC22aPvJsLXoF
Ether-Adresse: 0x13EDE2bafb636fEf0Cf6dE0625B9D56A34c793F9
Stellar-Adresse: GDYJRGRLAVBI2H4NNIZ2ACMEEQP43BOT45FAQWHXZ7EQPGS4XNV7KFHW
Wechsler
Beiträge: 602
Registriert: So 29. Okt 2017, 20:15
Internet: Easybell Komplett easy speed 100

Re: Aktivierung Technicolor TC4400 / Kundeneigenes Modem

Beitrag von Wechsler »

@Maikel Für dich gibt es da nur einen Ausweg:

1. Nutzung des Aktivierungsportals an einem anderen CMTS mit der Firmware SR70.12.33-180327 oder später (bei dir nicht mehr erforderlich, da offenbar schon freigeschaltet).

2. Anschließend Downgrade auf Original-Firmware (SR70.12.20), damit das Modem am Cisco-CMTS läuft. Das Tab-Problem in der SNMP-sysdescr spielt nach der Provisionierung nämlich keine Rolle mehr.

Langfristig: Upgrade auf eine komplett fehlerbereinigte Firmware (noch nicht verfügbar).
Banner 728x90
keiler
Beiträge: 6
Registriert: Do 13. Sep 2018, 22:34
Internet: 120

Re: Aktivierung Technicolor TC4400 / Kundeneigenes Modem

Beitrag von keiler »

Hallo allerseits,

ich überlege mein TC7200 durch ein TC4400 zu ersetzen. Bei mir läuft das TC7200 problemlos und stabil, aber ich bekomme bei einem 120er Alt-Vertrag von Cablesurf in München maximal 80. Zudem würde ich gerne auf Doppel-NAT verzichten (ich habe es nicht geschafft das TC7200 lediglich als Modem zu verwenden). Ein Fritzbox möchte ich eigentlich nicht (die kann man ja scheinbar auch nicht (mehr) als reines Modem verwenden). Eigentlich möchte ich nur ein Modem und meinen Wifi-Router nutzen.

Gelesen Habe ich, dass es @Sparkie scheinbar geschafft hat, das TC4400 an einer EX-Cablesurf-Leitung zu aktivieren.
- Habe ich das richtig verstanden, dass immer eine Interaktion mit dem Pyur-Support :roll: nötig ist, um das Modem zum Laufen zu bringen? Einfach anschließen und aktivieren geht also nicht?
- Was ich auch nicht ganz verstanden habe: Die Firmware die irgendwann mal Probleme gemacht hat, ist ja scheinbar repariert worden. Wenn ich jetzt ein neues TC4400 kaufe, ist dann schon die gefixte Version installiert? Wenn nicht, wie bekomme ich die gefixte Firmware auf das Modem?

Vielen Dank für eure Hilfe
Keiler
sparkie
Beiträge: 185
Registriert: Fr 5. Jan 2018, 12:10
Internet: KMS/cablesurf 200/8 via TC4400

Re: Aktivierung Technicolor TC4400 / Kundeneigenes Modem

Beitrag von sparkie »

keiler hat geschrieben: Fr 14. Sep 2018, 17:10 Gelesen Habe ich, dass es @Sparkie scheinbar geschafft hat, das TC4400 an einer EX-Cablesurf-Leitung zu aktivieren.
richtig
- Habe ich das richtig verstanden, dass immer eine Interaktion mit dem Pyur-Support :roll: nötig ist, um das Modem zum Laufen zu bringen? Einfach anschließen und aktivieren geht also nicht?
mein TC4400 mit SR70.12.33-180327 war binnen Minuten aktiv. Ganz alleine ueber das Portal (also ohne jeglichen telefonischen Support). Vorher war ein THOMSON THG570 dran.

Ob das bei PYUR (EX KMS/cablesurf) immer so gut laufen muss weiss ich natuerlich nicht :D
keiler
Beiträge: 6
Registriert: Do 13. Sep 2018, 22:34
Internet: 120

Re: Aktivierung Technicolor TC4400 / Kundeneigenes Modem

Beitrag von keiler »

sparkie hat geschrieben: Fr 14. Sep 2018, 19:03 mein TC4400 mit SR70.12.33-180327 war binnen Minuten aktiv. Ganz alleine ueber das Portal (also ohne jeglichen telefonischen Support). Vorher war ein THOMSON THG570 dran.

Ob das bei PYUR (EX KMS/cablesurf) immer so gut laufen muss weiss ich natuerlich nicht :D
Vielen Dank für die Information! Die Firmware war schon installiert, als du das modem gekauft hast, oder?
Hattest du dir auch mal das Arris Touchstone CM8200 angeschaut?

Noch eine allgemeine Frage: Ich habe ja noch den alten 120er Tarif. Ist es wahrschinlich, dass sich bei ansonsten gleichem Setup die tatsächliche Geschwindigkeit ggü. dem TC7200 verbessert?

Danke und scnönen Abend
Keiler

Edit: Ok, das CM8200 scheint es nirgends zu geben. Scheidet also wohl aus.
sparkie
Beiträge: 185
Registriert: Fr 5. Jan 2018, 12:10
Internet: KMS/cablesurf 200/8 via TC4400

Re: Aktivierung Technicolor TC4400 / Kundeneigenes Modem

Beitrag von sparkie »

keiler hat geschrieben: Fr 14. Sep 2018, 20:52 Vielen Dank für die Information! Die Firmware war schon installiert, als du das modem gekauft hast, oder?
ja. Aber du kannst diese Firmware auch nachtraeglich drauf bringen lassen. Mir scheint die von mir genannte FW-Version ist derzeit die beste, die es fuer das TC4400 gibt. Die Final hingegen scheint ein Schuss in den Ofen zu sein :D
Hattest du dir auch mal das Arris Touchstone CM8200 angeschaut?
nein
Noch eine allgemeine Frage: Ich habe ja noch den alten 120er Tarif. Ist es wahrschinlich, dass sich bei ansonsten gleichem Setup die tatsächliche Geschwindigkeit ggü. dem TC7200 verbessert?
ich hatte urspruenglich ebenfalls den 120er. Den hat bei mir aber selbst das alte Thomson durchaus geliefert. Insofern konnte das TC4400 bei mir gar keine Verbesserung mehr bringen.

Inzwischen bin ich aber in den 400er gewechselt. Und deswegen musste ich sowieso ein neues Modem einsetzen. Das halbgare Compal (ist ja schon mal kein reines Modem) das ich dazu zugeschickt bekam, habe ich ohne es jemals auszupacken in den Schrank gestellt. Fuer alle Faelle, da Fehlerdiagnose mit dem TC4400 vom Provider gewoehnlich verweigert wird :mrgreen:

Vom TC4400 bin ich bislang recht begeistert.
Zuletzt geändert von sparkie am Fr 14. Sep 2018, 21:12, insgesamt 5-mal geändert.
Benutzeravatar
Kasimir
Beiträge: 2117
Registriert: Sa 2. Jul 2016, 15:44
Internet: 500/25
Kontaktdaten:

Re: Aktivierung Technicolor TC4400 / Kundeneigenes Modem

Beitrag von Kasimir »

keiler hat geschrieben: Fr 14. Sep 2018, 20:52 Ist es wahrschinlich, dass sich bei ansonsten gleichem Setup die tatsächliche Geschwindigkeit ggü. dem TC7200 verbessert?
kommt drauf an, woran es liegt...
Banner 728x90
keiler
Beiträge: 6
Registriert: Do 13. Sep 2018, 22:34
Internet: 120

Re: Aktivierung Technicolor TC4400 / Kundeneigenes Modem

Beitrag von keiler »

Super, danke nochmals! :D
sparkie hat geschrieben: Fr 14. Sep 2018, 21:02 ja. Aber du kannst diese Firmware auch nachtraeglich drauf bringen lassen. Mir scheint die von mir genannte FW-Version ist derzeit die beste, die es fuer das TC4400 gibt. Die Final hingegen scheint ein Schuss in den Ofen zu sein :D
Das ist auch so was, ich nicht so checke. Ich hatte das so verstanden, dass ein Update nur von Providerseite eingespielt werden kann. Wie macht man das dann bzw. wie bringt man das Update auf das modem?
Zuletzt geändert von keiler am Fr 14. Sep 2018, 21:31, insgesamt 1-mal geändert.
keiler
Beiträge: 6
Registriert: Do 13. Sep 2018, 22:34
Internet: 120

Re: Aktivierung Technicolor TC4400 / Kundeneigenes Modem

Beitrag von keiler »

Kasimir hat geschrieben: Fr 14. Sep 2018, 21:03
keiler hat geschrieben: Fr 14. Sep 2018, 20:52 Ist es wahrschinlich, dass sich bei ansonsten gleichem Setup die tatsächliche Geschwindigkeit ggü. dem TC7200 verbessert?
kommt drauf an, woran es liegt...
Da hast du wohl recht :D
sparkie
Beiträge: 185
Registriert: Fr 5. Jan 2018, 12:10
Internet: KMS/cablesurf 200/8 via TC4400

Re: Aktivierung Technicolor TC4400 / Kundeneigenes Modem

Beitrag von sparkie »

keiler hat geschrieben: Fr 14. Sep 2018, 21:30 Das ist auch so was, ich nicht so checke. Ich hatte das so verstanden, dass ein Update nur von Providerseite eingespielt werden kann. Wie macht man das dann bzw. wie bringt man das Update auf das modem?
Tobsen sei Dank :D

(1) Firmware-Update/Bug-Fix für TC4400 über CMTS - Inoffizielles Unitymedia-Forum
keiler
Beiträge: 6
Registriert: Do 13. Sep 2018, 22:34
Internet: 120

Re: Aktivierung Technicolor TC4400 / Kundeneigenes Modem

Beitrag von keiler »

sparkie hat geschrieben: Fr 14. Sep 2018, 21:40
keiler hat geschrieben: Fr 14. Sep 2018, 21:30 Das ist auch so was, ich nicht so checke. Ich hatte das so verstanden, dass ein Update nur von Providerseite eingespielt werden kann. Wie macht man das dann bzw. wie bringt man das Update auf das modem?
Tobsen sei Dank :D

(1) Firmware-Update/Bug-Fix für TC4400 über CMTS - Inoffizielles Unitymedia-Forum
Jetzt habe ich, glaube ich, erst mal alle infos die ich brauche, um eine Entscheidung zu treffen! Mal sehen, ob ich mich dazu durchringen kann ein laufendes System zu verändern. :shock: :D
sparkie
Beiträge: 185
Registriert: Fr 5. Jan 2018, 12:10
Internet: KMS/cablesurf 200/8 via TC4400

Re: Aktivierung Technicolor TC4400 / Kundeneigenes Modem

Beitrag von sparkie »

keiler hat geschrieben: Fr 14. Sep 2018, 21:52 Mal sehen, ob ich mich dazu durchringen kann ein laufendes System zu verändern. :shock: :D
es gilt immer noch:

ein System, das funktioniert, ist veraltet

also tue es :D
Banner 728x90
Samsungstory
Beiträge: 717
Registriert: Do 5. Okt 2017, 16:22
Internet: PYUR Speed 400

Re: Aktivierung Technicolor TC4400 / Kundeneigenes Modem

Beitrag von Samsungstory »

Ein besseres Modem bekommt man zur Zeit nicht :mrgreen:
Bild
PYUR Speed 400 mit TC4400 + GT-AX6000
keiler
Beiträge: 6
Registriert: Do 13. Sep 2018, 22:34
Internet: 120

Re: Aktivierung Technicolor TC4400 / Kundeneigenes Modem

Beitrag von keiler »

In der aktuellen c't wird das TC4400 übrigens unter "News" auf S. 38 präsentiert.
"Foreneinträgen zufolge (siehe ct.de/yb89) bekamen Käufer das TC4400-EU in den Netzen von Pyur (Tele Columbus, KMS/Cablesurf, Primacom), Unitymedia und Vodafone [...] zum Laufen"
Ihr habt es also schon in die Presse geschafft :)
Zuletzt geändert von keiler am Sa 15. Sep 2018, 14:08, insgesamt 1-mal geändert.
Samsungstory
Beiträge: 717
Registriert: Do 5. Okt 2017, 16:22
Internet: PYUR Speed 400

Re: Aktivierung Technicolor TC4400 / Kundeneigenes Modem

Beitrag von Samsungstory »

Ja. Ich war der erste der eins bei PYUR aktiviert hat. Damals noch mit Hilfe der BNetzA :lol: Mittlerweile geht es dank neuerer Firmware teilweise ohne Probleme.
Bild
PYUR Speed 400 mit TC4400 + GT-AX6000
Benutzeravatar
Kasimir
Beiträge: 2117
Registriert: Sa 2. Jul 2016, 15:44
Internet: 500/25
Kontaktdaten:

Re: Aktivierung Technicolor TC4400 / Kundeneigenes Modem

Beitrag von Kasimir »

na bevor ich ein eigenes modem nutzt, muss ich ein update durchführen können.... immer mal wegschicken ist irgendwie nicht der optimale weg...
sparkie
Beiträge: 185
Registriert: Fr 5. Jan 2018, 12:10
Internet: KMS/cablesurf 200/8 via TC4400

Re: Aktivierung Technicolor TC4400 / Kundeneigenes Modem

Beitrag von sparkie »

das TC4400 ist keine Fritte, auf die man staendig neue Updates laden muss. Weil sonst eine Sicherheitsluecke mal wieder scheunentorweit offen steht oder weil sonst was nicht funktioniert.

Insofern spielt das keine Rolle ob man das TC4400 vielleicht mal (wenn ueberhaupt jemals) wohin schicken muss...
Banner 728x90
Wechsler
Beiträge: 602
Registriert: So 29. Okt 2017, 20:15
Internet: Easybell Komplett easy speed 100

Re: Aktivierung Technicolor TC4400 / Kundeneigenes Modem

Beitrag von Wechsler »

Kasimir hat geschrieben: Sa 15. Sep 2018, 18:58 na bevor ich ein eigenes modem nutzt, muss ich ein update durchführen können.... immer mal wegschicken ist irgendwie nicht der optimale weg...
Deswegen ist im DOCSIS-Standard auch festgelegt, daß der KNB die zum Netz passende Firmware-Version aufspielt. Im Falle von Vodafone wäre das die 40er-Firmware, damit DHCPv6 im Managementnetz funktioniert und im Falle von Samsungstory die 20er, damit er an seinem Cisco-CMTS online kommt. Die HFC-Erfinder haben da schon mitgedacht, es sind wieder die Deutschen, die sich dafür entschieden haben, bewußt gegen den Standard zu handeln, weil sie mal wieder meinen, alles besser zu wissen.

Davon abgesehen ist sowieso dein Fachhändler für den Service zuständig. Auf dein Auto spielst du ja auch nicht selbst die neue Motorsoftware auf, das passiert selbstverständlich in der Werkstatt.
Benutzeravatar
Kasimir
Beiträge: 2117
Registriert: Sa 2. Jul 2016, 15:44
Internet: 500/25
Kontaktdaten:

Re: Aktivierung Technicolor TC4400 / Kundeneigenes Modem

Beitrag von Kasimir »

mit blick auf 3.1 denk ich schon das da noch bedarf ist ;) einfach so wird das wohl nicht gehen... das wär wohl eine sehr optimistische denke

Deswegen ist im DOCSIS-Standard auch festgelegt, daß der KNB die zum Netz passende Firmware-Version aufspielt. Im Falle von Vodafone wäre das die 40er-Firmware, damit DHCPv6 im Managementnetz funktioniert und im Falle von Samsungstory die 20er, damit er an seinem Cisco-CMTS online kommt. Die HFC-Erfinder haben da schon mitgedacht, es sind wieder die Deutschen, die sich dafür entschieden haben, bewußt gegen den Standard zu handeln, weil sie mal wieder meinen, alles besser zu wissen.
im docsis standard ist aber auch keine routerfreiheit vorgesehen :D

aber eine CMTS kost ja "nur" ~100$... mal schaun...
Wechsler
Beiträge: 602
Registriert: So 29. Okt 2017, 20:15
Internet: Easybell Komplett easy speed 100

Re: Aktivierung Technicolor TC4400 / Kundeneigenes Modem

Beitrag von Wechsler »

Kasimir hat geschrieben: Sa 15. Sep 2018, 19:29 im docsis standard ist aber auch keine routerfreiheit vorgesehen :D
Auch das ist falsch, der Standard wurde überhaupt erst ins Leben gerufen, damit der Kunde sein Endgerät wählen und selbst kaufen kann. Er ermöglicht nämlich herstellerübergreifende Kompatibilität. Ohne DOCSIS muß der KNB nämlich das zum CMTS passende Endgerät liefern, so wie das auch in der Anfangszeit von DSL war.

Daß die Provisionierung standardseitig nicht im Self-Service läuft, wie das einige KNBs versuchen, ist bei einem Shared Medium m. E. vernünftig. Ich verstehe auch nicht, warum VF und PY da versuchen, einen Geschäftsfall zu optimieren, der deutlich seltener auftritt als eine Neuanschaltung mit notwendiger Durchschaltung der Koaxlinie (oder das Umschalten des Zwangsrouters in den Bridge-Modus). Die haben Geld ausgegeben für "Aktivierungsportale" und schließlich noch die Technikerkosten oben drauf, weil sie nicht richtig funktionieren. Ich wette die ca. 100 Inbound Calls im Chat bei UM mit händischem Abschreiben der CM-MAC dürften unterm Strich deutlich weniger gekostet haben.

Das soll bitte nicht als Kritik an den engagierten Technikern hier in den Foren mißverstanden werden, diese Fehlentscheidungen hat das Management zu verantworten. Haben die geglaubt, daß August 2016 Millionen Kunden plötzlich losrennen und Fritzboxen kaufen?
Benutzeravatar
Kasimir
Beiträge: 2117
Registriert: Sa 2. Jul 2016, 15:44
Internet: 500/25
Kontaktdaten:

Re: Aktivierung Technicolor TC4400 / Kundeneigenes Modem

Beitrag von Kasimir »

Wechsler hat geschrieben: Sa 15. Sep 2018, 20:21
Kasimir hat geschrieben: Sa 15. Sep 2018, 19:29 im docsis standard ist aber auch keine routerfreiheit vorgesehen :D
Auch das ist falsch, der Standard wurde überhaupt erst ins Leben gerufen, damit der Kunde sein Endgerät wählen und selbst kaufen kann. Er ermöglicht nämlich herstellerübergreifende Kompatibilität. Ohne DOCSIS muß der KNB nämlich das zum CMTS passende Endgerät liefern, so wie das auch in der Anfangszeit von DSL war.
nur in welchem rechtlichem rahmen soll sowas passieren? der KBN macht einen ziegelstein draus, wer haftet dann? usw...
Daß die Provisionierung standardseitig nicht im Self-Service läuft, wie das einige KNBs versuchen, ist bei einem Shared Medium m. E. vernünftig. Ich verstehe auch nicht, warum VF und PY da versuchen, einen Geschäftsfall zu optimieren, der deutlich seltener auftritt als eine Neuanschaltung mit notwendiger Durchschaltung der Koaxlinie (oder das Umschalten des Zwangsrouters in den Bridge-Modus). Die haben Geld ausgegeben für "Aktivierungsportale" und schließlich noch die Technikerkosten oben drauf, weil sie nicht richtig funktionieren. Ich wette die ca. 100 Inbound Calls im Chat bei UM mit händischem Abschreiben der CM-MAC dürften unterm Strich deutlich weniger gekostet haben.

Das soll bitte nicht als Kritik an den engagierten Technikern hier in den Foren mißverstanden werden, diese Fehlentscheidungen hat das Management zu verantworten.
langfristig sicher die bessere methode ganz ohne support auszukommen... wenns mal klappt...
Haben die geglaubt, daß August 2016 Millionen Kunden plötzlich losrennen und Fritzboxen kaufen?
vllt haben sie es ja dennen geglaubt, die den spass vorrangetrieben haben. :roll:
Wechsler
Beiträge: 602
Registriert: So 29. Okt 2017, 20:15
Internet: Easybell Komplett easy speed 100

Re: Aktivierung Technicolor TC4400 / Kundeneigenes Modem

Beitrag von Wechsler »

Kasimir hat geschrieben: Sa 15. Sep 2018, 20:57nur in welchem rechtlichem rahmen soll sowas passieren? der KBN macht einen ziegelstein draus, wer haftet dann? usw...
Der Hersteller natürlich. Der KNB kann nur vom Hersteller freigegebene und signierte Firmware ins Modem laden. Idealerweise die, die am besten für sein Netz paßt (Update um jeden Preis muß also nicht sein).
langfristig sicher die bessere methode ganz ohne support auszukommen... wenns mal klappt...
Das sinnvoll bei Dingen, die der Kunde täglich oder wenigstens monatlich machen muß (z. B. seine Rechnung einsehen). Extrem seltene Geschäftsvorfälle zu automatisieren ist unsinnig. Erstens spart man die Kosten dafür nicht wieder rein und zweitens treten sie eben zu selten auf, damit Fehler sinnvoll reproduziert und beseitigt werden können. Wenn mehrmals täglich Kundenmodems aktiviert werden würden, wären die Probleme doch schon im August 2016 gefunden und beseitigt worden. Tatsächlich kommt das aber vielleicht 0,05mal pro Vertragslaufzeit vor.

Auch ein Elon Musk mußte erst auf die harte Tour lernen: Einfache Standardaufgaben mit hoher Wiederholungsquote automatisieren (senkt auch die Fehlerquote), Spezialfälle von Menschen erledigen lassen. Aber hinter Self-Service um jeden Preis steht vermutlich irgendeine Management-Ideologie.
Banner 728x90
Antworten